Решебник Рябушко. Решенный ИДЗ 12.1, Вариант 19
Продаж:
менее 10
Возвратов:
0
Отзывов:
0
Этот товар закончился. Загляните позже или попробуйте поискать товар у других продавцов
Описание
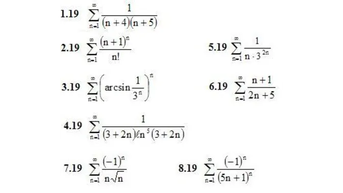
1. Доказать сходимость ряда и найти его сумму.
2. Исследовать на сходимость указанные ряды с положительными членами.(2-6)
Исследовать на сходимость и абсолютную сходимость знакочередующиеся ряды. (7-8)
2. Исследовать на сходимость указанные ряды с положительными членами.(2-6)
Исследовать на сходимость и абсолютную сходимость знакочередующиеся ряды. (7-8)
Дополнительная информация
Решение оформлено в PDF формате 
